18 原型设计:如何用最小的代价完成产品特性?

你好,我是宝玉,我今天想与你分享的主题是“原型设计”。

我们都知道,软件项目中很多问题都和需求相关,比如说需求不明确,需求变更。这些问题轻则导致返工造成浪费,重则导致项目失败带来巨大损失。所以在软件工程中,搞明白需求是一件至关重要的事。

上一篇我带你学习了如何分析需求的方法,而分析需求,同样也离不开工具的支持。所以这一篇,我将带你学习需求分析中原型设计的用法,借助原型设计,用最小的代价完成产品特性。

什么是原型设计?

对于原型设计,很多程序员可能比较陌生,但是对于产品经理来说,原型设计却是日常工作中最常用的技能之一。因为原型设计,是产品经理确认需求、设计产品最重要的沟通工具。

其实最早的原型设计,并不是作为一个需求沟通工具存在的。

原型设计的发展历史

早在上世纪 70 年代,在瀑布模型提出后,很大程度上改进了软件项目的开发。但是需求不明确、需求多变的问题从那时候开始就是一大难题。

《人月神话》的作者弗雷德里克·布鲁克斯(Frederick P. Brooks, Jr.)在《没有银弹 - 软件工程中的根本和次要问题》中第一次提出了:“在获取和制订软件需求时,将快速原型开发作为迭代计划的一部分”。

后来快速原型就逐步发展成为一个开发模型,叫快速原型模型,我在《04 瀑布模型之外,还有哪些开发模型?》这一篇里也有介绍。这种模型的特点就是快速开发,快速修改。目的是为了解决客户的需求不明确和需求多变的问题。

注意,这里的快速原型模型,是开发软件项目的一种模式,还不是工具。

给你举个例子,如果用快速原型模型开发网站,大概分三个阶段。

第一个阶段就是纯静态 HTML 页面,能看到页面什么样子,没有后台,无法保存数据。这种静态页面开发成本不高,速度很快,改起来也方便,做好了就可以拿去跟客户确认需求。

客户看了后就能知道产品长什么样子,是不是满足要求,会提出明确的反馈意见。根据反馈,开发方会继续修改静态页面。

第二个阶段就是模拟一个后台服务,没有数据库,数据直接保存内存中。但是可以让网站有真正的交互:从网站添加内容就能显示出来,修改网站内容,网站显示的内容也会跟着修改。

这个阶段客户可以在网站上体验交互,也能完整的体验操作的流程,可以进一步针对交互再提出反馈,开发方根据反馈继续修改。

第三个阶段就是完成最终的后台服务,接入真正的数据库或者其他后台服务,完成整个网站的开发。由于前面两个阶段,产品经理已经把需求和交互确认清楚,所以这个阶段的开发,就没有太多需求上的反复和修改,可以高效的完成设计和开发。

简单来说快速原型模型就是,第一阶段确认界面布局和内容,第二阶段确认交互,第三阶段实现。

通过快速原型模型来开发,可以低成本、快速地确认好需求。但也有一个问题:**整个过程单靠产品经理是无法完成的,必须要有开发人员配合才能完成。**而对产品经理来说,要开发人员配合还是一件高成本的事情。

  • 低保真原型设计

于是有产品经理用线框图来代替第一阶段。线框图画起来简单,纸和笔就可以,展示效果不错,通过线框图可以直观地看到界面上有什么,布局是什么样的,一样可以用来和客户确认需求。

img

图片来源:WikiPedia

线框图简单方便,可以起到沟通需求的效果。但缺点也很明显,就是看起来不够真实,不方便反映界面之间的关系,另外也不能反映界面交互。所以线框图这种模式也叫低保真原型。

  • 中等保真原型设计

再后来就有像 Axure 这样专业的原型设计软件产生,不仅可以反映界面上的布局和内容,还可以展示网站的整体结构和交互。也就是说,借助原型设计工具,可以达到前面快速原型开发前两个阶段同等的效果。

img

图片来源:我参与过的某项目原型设计截图

这种原型设计,可以很好的用来确认需求和界面交互,虽然制作难度上比线框图要复杂一点,但是不需要开发人员介入,产品经理完全可以自己搞定。

但这样制作出来的原型,也不能做到 100% 真实,因为它在界面的真实度、色彩上要比最终产品差一些,所以也被称之为中等保真原型。

  • 高保真原型设计

近些年移动端快速发展,对于移动端来说,因为界面比较小,布局和内容上已经没法玩出什么花样。所以客户更追求界面的美观和交互的炫酷,对原型的保真度要求也就越来越高。

所以很多原型工具就在高保真方面狠下功夫,让你简单操作就可以做出漂亮的界面和炫酷的交互,甚至完成后都不需要再做 UI 设计了。

当然,高保真原型的学习成本和制作成本都要高于低保真原型,所以变更成本更高,而且也很容易导致产品经理花大量时间在细节的调整上,影响整体的进度。所以通常高保真都会和低保真原型设计配合使用,先用低保真原型快速确认清楚需求,再用高保真原型确认最终的交互和 UI 设计。

就这样,原型设计从最开始的一种快速开发模式,逐步演进成了今天的原型设计工具。让产品经理不需要会编程知识,也可以做出很酷的软件原型,从而可以低成本、高效率的确认清楚产品需求。

怎么做好原型设计?

虽然说现在原型设计工具已经让制作原型越来越简单,但即便如此,原型设计也可以算得上是一个小项目了。因为要做好原型设计,不仅要考虑单个界面怎么设计,还要考虑这个产品整体有多少个界面,各个界面的关系和流程是什么样的。

要做好原型设计,可以借鉴我在《02 工程思维:把每件事都当作一个项目来推进》中讲的内容,用工程方法来完成。

img

参考工程方法,我们可以将每次原型设计过程分成四个部分:分析、设计、实施和验证。

这里,我以极客时间 App 为例,假设我们需要制作一个极客时间的 iPad 版,应该如何制作原型呢?

第一步:分析

在原型设计时,通常属于需求的最初阶段,需求还是很模糊、不具体的。所以这个阶段首先要做的,就是要对用户的需求有个初步的了解,分析清楚原型设计的目标是什么。

比如说,我们要设计极客时间的 iPad 版,其实在内容上,完全可以基于 iPhone 版本,只是在布局上,交互要重新设计,充分发挥 iPad 大屏幕的优势,展现更多有价值的信息。

第二步:设计

在对需求进行初步分析后,需要开始对原型进行整体设计。在设计阶段,主要从两个维度来考虑:

  1. 从信息架构的维度,考虑清楚整个产品的信息架构,划分出模块;
  2. 从使用流程的维度,考虑清楚界面之间的流程。

画产品的信息结构图

产品的信息结构,就像一本书的目录,整体描述了架构信息。

在做原型设计前,先梳理清楚整体结构,有助于帮你想清楚产品有哪些功能模块,模块之间的关系如何,哪些模块是公共的,哪些模块是面向不同用户显示不同内容的。

参考极客时间 iPhone 的结构,我们可以把主体的信息架构梳理出来,如下图所示:

img

在考虑清楚主体结构后,可以进一步细化。例如其中“讲堂”下面虽然分成了“专栏”、“视频课程”、“每日一课”和“微课”,但其实点进去都是一样的,我们可以称之为“课程模块”,对于课程模块,我们可以进一步细化。如下图所示:

img

这样你就可以一步步将整体信息结构从粗到细,一点点整理清楚。

画产品使用流程图

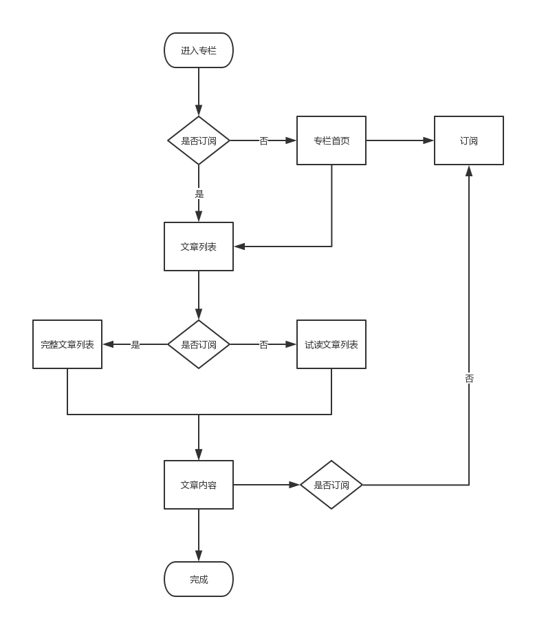
用户在使用产品时,会在不同的模块之间跳转,比如说你从极客时间进入到一个没订阅过的专栏,还可以点击订阅按钮进入订阅界面,订阅成功又可以返回专栏界面。

所以,**需要用流程图把这些界面之间跳转的逻辑梳理清楚。**在设计流程图的时候,要重点考虑用户的使用场景,结合使用场景设计好流程。

举例来说,如果当前用户进入到专栏首页,如果用户没有订阅,最重要的就是让用户可以方便的订阅,然后继续阅读;如果用户已经订阅,就没必要显示订阅相关内容,直接可以看到文章列表,选取想看的文章直接阅读。

需要注意,画产品使用流程图时,不仅要考虑正常使用的流程,同时也要考虑清楚异常的情况。比如说用户留言输入错误,网络失败,怎么处理?如果把用户辛辛苦苦输入的消息弄丢了,将会让用户体验大打折扣。

我们以进入专栏,阅读专栏文章这个流程为例,画一个简单的流程图,来说明各种不同情况下的流程和跳转关系。

img

通过这样的流程图,可以考虑清楚界面和界面之间的跳转逻辑。

第三步:实施

在设计好整体的信息架构和使用流程图后,就可以开始对每个界面画流程图了。

在具体到界面时,要优先考虑满足产品需求,然后是让界面好看好用。

比如说阅读专栏文章这个界面,在 iPhone 上,屏幕很小,显示的信息有限,到 iPad 上,有了更大的屏幕,就可以增加更多的内容。但是注意不能造成太多的信息干扰,要突出重点,增强体验。

所以我们可以保留 Tab 导航的设计,让用户可以随时回到一级界面,并且针对 iPad 界面特点,对位置做一些针对性调整。

img

另外在专栏阅读时,一个常见的场景就是看完一篇后,想切换到目录查看其他文章。可以针对 iPad 的交互特点,点击显示目录,方便在文章之间切换跳转。

img

这样一个界面基本上就初步完成了。接下来还可以对一些可以点击的界面元素,例如按钮,增加跳转操作,按照前面产品使用流程图的设计,将界面之间连接起来,让用户可以方便的从一个界面跳转到另一个界面。

第四步:验证

原型设计完成后,还需要一个很重要的环节就是验证,产品经理自己反复验证几遍,如果发现有流程上走不通或者使用不方便的地方先自己调整。调整好了交给其他人去体验,让他们提出反馈意见。

一般在正式的项目中,针对原型设计,需要有相应的评审会议,让大家提出反馈,根据反馈再作出调整。

比如说我前面设计的文章阅读界面,在交给朋友体验后,他给我的建议是:这样的设计看起来文章之间跳转方便了,但是要返回专栏页面反而是不方便了。而相对来说,返回专栏是一个更常见的操作。所以对竖版界面来说,这样的设计可能会让用户不知道如何回去,不如还是改回传统的返回式导航。

我觉得他说的很有道理,所以最终界面变成了这样:

img

而这样的调整,在原型设计工具中,几分钟就完成了,非常小的代价就完成了一个产品设计的确认。

经过分析、设计、实施、验证这四个阶段,再反复的修改和确认几次,基本上就可以做出来不错的原型设计了。

如何选择合适的原型设计工具?

原型设计工具,选择非常多。我建议你选择的时候,可以从几个维度考虑:

面向的平台:Web、桌面、手机;

  • 保真度:中等保真度还是高保真度;

  • 功能:是否满足你的要求;

  • 成本:价钱是否可以接受。

这里推荐几款主要的原型设计工具,供参考。

Axure RP:Axure RP 曾一度是原型设计工具的代名词,历史悠久功能强大,可以制作网站、桌面软件、移动 App 的原型。 缺点是专业度较高,价格高。

墨刀:墨刀 是一款优秀的国产原型设计工具,可以制作网站、桌面软件、移动 App 的原型。上手相对容易,价钱也较 Axure 便宜很多。

Adobe XD:Adobe XD 是 Adebe 出的一款设计兼原型设计工具,可以制作出高保真原型,对于设计师尤其容易上手。

ProtoPie:ProtoPie 是一款高保真原型设计工具,不需要编程基础,可以做出逼真强大的交互效果。

Framer X:Framer X是一款高保真的原型设计工具,功能很强大,但是需要一定的编程基础,尤其适合程序员使用。

关于原型设计工具更多的资料,可以到“人人都是产品经理”网站的原型设计分类下,可以找到很多有价值的资料。

总结

今天带你一起了解了原型开发的演变历史。原型开发,从一个软件开发模型,逐步演变成了一个需求设计工具,让产品经理不用依赖程序员就可以作出逼真的产品原型,也大大降低了项目成员了解需求的难度。

原型设计,让产品经理可以用最小的代价完成产品特性,逐步成为产品经理确认需求、设计产品最重要的沟通工具。原型设计工具有很多可以选择的,建议从面向的平台、保真度、功能和价格等多方面因素综合考虑。

要做好原型设计,可以结合工程方法,分成四个阶段:分析、设计、实施和验证。

  • 分析阶段,搞清楚用户的需求,原型设计的目标;

  • 设计阶段,划分好产品的信息架构,设计好产品操作的流程;

  • 实施阶段,按照设计的结果,对每个界面制作原型,并且将界面组织起来,让界面之间可以相互跳转;

  • 验证阶段,和项目成员、客户进行确认,收集意见反馈,根据反馈进行修改。

如果你的项目还没有把原型设计作为确认需求、设计产品的沟通工具,可以考虑推广应用起来,不仅上手容易,而且可以帮你降低确认清楚需求的成本。

如果你打算做自己的产品,先不要着急动手写代码,不妨先做一个原型出来。