29 自动化测试:如何把Bug杀死在摇篮里?

你好,我是宝玉。前不久我所在项目组完成了一个大项目,把一个网站前端的 jQuery 代码全部换成 React 代码,涉及改动的项目源代码文件有一百多个,变动的代码有几千行,最终上线后出乎意料的稳定,只有几个不算太严重的 Bug。

能做到重构还这么稳定,是因为我们技术水平特别高吗?当然不是。还是同样一组人,一年前做一个比这还简单的项目,上线后却跟噩梦一样,频繁出各种问题,导致上线后不停打补丁,一段时间才逐步稳定下来。

这其中的差别,只是因为在那次失败的上线后,我们总结经验,逐步增加了自动化测试代码的覆盖率。等我们再做大的重构时,这些自动化测试代码就能帮助我们发现很多问题。

当我们确保每一个以前写好的测试用例能正常通过后,就相当于把 Bug 杀死在摇篮里,再配合少量的人工手动测试,就可以保证上线后的系统是稳定的。

其实对于自动化测试,我们专栏已经多次提及,它是敏捷开发能快速迭代很重要的质量保障,是持续交付的基础前提。

所以今天我将带你一起了解什么是自动化测试,以及如何在项目中应用自动化测试。

为什么自动化测试能保障质量?

自动化测试并不难理解,你可以想想人是怎么做测试的:首先根据需求写成测试用例,设计好输入值和期望的输出,然后按照测试用例一个个操作,输入一些内容,做一些操作,观察是不是和期望的结果一致,一致就通过,不一致就不通过。

自动化测试,就是把这些操作,用程序脚本来完成的,本质上还是要输入和操作,要检查输出是不是和期望值一致。只要能按照测试用例操作和检查,其实是人来做还是程序来做,结果都是一样的。

不过,自动化测试有一个手工测试没有的优势,那就是可以直接绕过界面,对程序内部的类、函数进行直接测试,如果有一定量的自动化测试代码覆盖,相对来说软件质量是更有保障的。

而且,一旦实现了自动化,每测试一次的成本其实大幅降低了的,几百个测试用例可能几分钟就跑完了。尤其是每次修改完代码,合并到主干之前,把这几百个测试用例跑一遍,可以有效地预防“修复一个 Bug 而产生新 Bug”的情况发生。

但现阶段,自动化测试还是不能完全代替手工测试的,有些测试,自动化测试成本比手工测试成本要高,比如说测试界面布局、颜色等,还是需要一定量的手工测试配合。

有哪些类型的自动化测试?

现在说到自动化测试,已经有很多的概念,除了大家熟悉的单元测试,还有像集成测试、UI 测试、端到端测试、契约测试、组件测试等。而很多时候同一个名字还有不同的解读,很容易混淆。

在对自动化测试类型的定义方面,Google 的分类方法我觉得比较科学:根据数据做出决策,而不仅仅是依靠直觉或无法衡量和评估的内容。Google 将自动化测试分成了三大类:小型测试、中型测试和大型测试。

假设我们有一个网站,是基于三层架构(如下图所示),业务逻辑层的类叫 UserService 类,数据访问层的类叫 UserDA,我们将以用户注册的功能来说明几种测试的区别 。

img

小型测试

小型测试是为了验证一个代码单元的功能,例如针对一个函数或者一个类的测试。我们平时说的单元测试就是一个典型的小型测试。

比如说 UserService 这个类,有一个注册用户的函数,现在要对它写一个单元测试代码,那么看起来就像下面这样:

img

通过这样的测试代码,就可以清楚的知道 UserService 类的 create 这个函数是不是能正常工作。

小型测试的运行,不需要依赖外部。如果有外部服务(比如文件操作、网络服务、数据库等),必须使用一个模拟的外部服务。比如上面例子中我们就使用了 FakeUserDA 这个模拟的数据库访问类,实际上它不会访问真实的数据库。这样可以保证小型测试在很短时间内就可以完成。

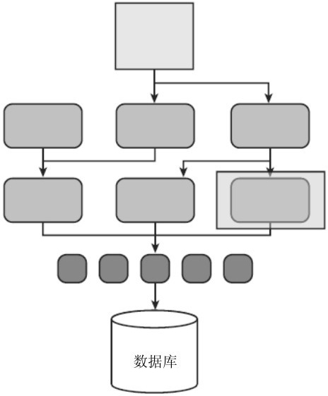
img

小型测试,图片来源:《Google软件测试之道》

中型测试

中型测试是验证两个或多个模块应用之间的交互,通常也叫集成测试。

如果说要对用户注册的功能写集成测试,那么就会同时测试业务逻辑层的 UserService 类和数据访问层的 UserDA 类。如下所示:

img

对于中型测试,可以使用外部服务(比如文件操作、网络服务、数据库等),可以模拟也可以使用真实的服务。比如上面这个例子,就是真实的数据库访问类,但是用的内存数据库,这样可以提高性能,也可以减少依赖。

至于中型测试要不要使用模拟的服务,有个简单的标准,就是看能不能在单机情况下完成集成测试,如果可以就不需要模拟,如果不能,则要模拟避免外部依赖。

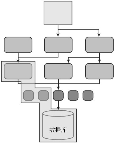
img

中型测试,图片来源:《Google软件测试之道》

大型测试

大型测试则是从较高的层次运行,把系统作为一个整体验证。会验证系统的一个或者所有子系统,从前端一直到后端数据存储。大型测试也叫系统测试或者端对端测试。

如果说要对用户注册写一个端对端测试的例子,那么看起来会像这样:

img

对于大型测试,通常会直接使用外部服务(比如文件操作、网络服务、数据库等),而不会去模拟。比如上面这个例子,就是直接访问测试环境的地址,通过测试库提供的 API 操作浏览器界面,输入测试的用户名密码,点击注册按钮,最后检查输出的结果是不是符合预期。

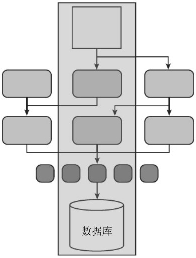
img

大型测试,图片来源:《Google软件测试之道》

区分测试类型的依据是什么?

以上就是主要的自动测试类型了。捎带着补充一个测试类型,那就是契约测试,这个测试最近出现的频率比较高,主要是针对微服务的。其实就是让微服务在测试时,不需要依赖于引用的外部的微服务,在本地就可以模拟运行,同时又可以保证外部微服务的接口更新时,本地模拟的接口(契约)也能同步更新。对契约服务更多的说明可以参考这篇文章:聊一聊契约测试

那么契约测试,属于大型测试还是中型测试呢?

Google 针对这几种测试类型列了一张表,根据数据给出了明确区分:

img

图片来源:Google Testing Blog

结合上面的表格其实就很好区分了:

  • 小型测试,没有外部服务的依赖,都是要模拟的;

  • 中型测试,所有的测试几乎都不需要依赖其他服务器的资源,如果有涉及其他机器的服务,则本地模拟,这样本机就可以完成测试;

  • 大型测试,几乎不模拟,直接访问相关的外部服务。

所以现在你应该就知道契约测试,也是中型测试的一种了,因为它不需要依赖外部服务,本机就可以完成测试。

为什么中型测试这么看重“能单机运行”这一点呢?因为这样才方便在持续集成上跑中型测试,不用担心外部服务不稳定而导致测试失败的问题。

上面的表中还反映出一个事实:**越是小型测试,执行速度越快,越是大型测试,执行速度越慢。**通常一个项目的小型测试,不超过一分钟就能全部跑完,一个中型测试,包括一些环境准备的时间,可能要几分钟甚至更久,而大型测试就更久了。

**另外越是大型测试,写起来的成本也相应的会更高,所以一般项目中,小型测试最多,中型测试次之,大型测试最少。**就像下面这张金字塔图一样。所以我们也常用测试金字塔来区分不同类型的测试粒度。

img

测试金字塔,图片来源: TestPyramid

如果你对测试类型很感兴趣,可以参考测试金字塔实战这篇文章作为补充。

怎么写好自动化测试代码?

很多人认为写自动化测试很复杂,其实测试代码其实写起来不难,包含四部分内容即可,也就是:准备、执行、断言和清理,我再把第一段代码示例贴一下:

img

第一步就是准备,例如创建实例,创建模拟对象;第二步就是执行要测试的方法,传入要测试的参数;第三步断言就是检查结果对不对,如果不对测试会失败;第四步还要对数据进行清理,这样不影响下一次测试。

上面还有几个测试代码示例,都是这样的四部分内容。

这是针对写一个自动化测试的代码结构。对于同一个功能,通常需要写几个自动化测试才完整。

一个完整的自动化测试要包括三个部分的测试:

  • 验证功能是不是正确:例如说输入正确的用户名和密码,要能正常注册账号;

  • 覆盖边界条件: 比如说如果用户名或密码为空,应该不允许注册成功;

  • 异常和错误处理:比如说使用一个已经用过的用户名,应该提示用户名被使用。

img

所以你看,写一个测试代码并没有你想的那么复杂,那还有什么理由不去写测试呢?

如何为你的项目实施自动化测试?

现在你了解了有哪些类型的测试,如何写自动化测试代码,也许迫不及待想在项目中实施自动化测试。

选择好自动化测试框架

要写好自动化测试代码,首先要找对自动测试化框架。不同的语言,不同的平台,测试的框架都不一样。好在现在搜索引擎很方便,根据“你的语言 + 自动测试框架”的关键字,就能找到很多的结果。这里我也帮你找了一些,供参考。

  • Web 前端

Jest: Facebook 的前端测试框架;

Mocha:历史悠久的一个 JS 测试框架;

Nighwatch: 一个 API 很简单,但是功能很强大,可以直接操作浏览器的自动测试框架。

  • iOS 开发

可以参考这篇文章《iOS 自动化测试框架对比》。

  • 安卓开发

可以参考这篇文章《Android 谈谈自动化测试》。

在持续集成环境上跑你的自动化测试

选好自动化测试框架后,你的自动化测试代码,其中的小型测试和中型测试,最好要能在持续集成环境上运行起来。

让自动化测试在持续集成上运行非常重要,只有这样才能最大化地发挥自动化测试的作用。

因为持续集成,会强制测试通过才能合并代码,在合并代码之前就能知道测试是不是都通过了,可以帮助程序员获得最直观的反馈,知道哪里可能存在问题,这样才能真正做到防患于未然,把 Bug 杀死在摇篮里。

下图描述的就是自动测试配合持续集成的一个标准流程:

  • 在提交代码前,先本地跑一遍单元测试,这个过程很快的,失败了需要继续修改;

  • 单元测试成功后就可以提交到源代码管理中心,提交后持续集成服务会自动运行完整的自动化测试,不仅包括小型测试,还有中型测试;

  • 通过所有的测试后,就可以合并到主分支,如果失败,需要本地修改后再次提交,直到通过所有的测试为止。

img

图片来源:Microservice Testing: Unit Tests

新项目和老项目的不同策略

如果是新项目,那么可以在一开始就保持一定的自动化测试代码的覆盖率,你甚至还可以试试测试驱动(TDD)的开发模式,也就是先写测试代码,再写实现代码,保证测试通过,最后对代码进行重构。

img

图片来源:郑晔 《10x程序员工作法》专栏

如果是老项目,短期内要让自动化测试代码有覆盖是有难度的,可以先把主要的功能场景的中型测试写起来,这样可以保证这些主要功能不会轻易出问题。

后面在维护的过程中:

  • 增加新功能的时候,同步对新功能增加自动化测试代码;

  • 修复 Bug 的时候,针对 Bug 补写自动化测试代码。

这样一点一点,把自动化测试代码覆盖率加上去。

如果时间紧任务重,来不及写自动化测试怎么办?

确实遇到时间紧的情况,我建议你要优先保证中型测试代码的覆盖,因为这样至少可以保证主要的用户使用场景是正常的。然后把来不及完成的部分,创建一个 Ticket,放到任务跟踪系统里面,后面补上。

总结

今天我带你一起学习了关于自动化测试有关的知识。自动化测试,分为三类:

  • 小型测试,主要针对函数或者类进行验证,不调用外部服务,执行速度快;

  • 中型测试,主要验证两个或多个模块应用之间的交互,可能会调用外部服务,尽可能让所有测试能在本机即可完成,执行速度比较快;

  • 大型测试,对服务整体进行验证,执行速度慢。

写好单元测试代码,基本结构就是:准备、执行、断言和清理;基本原则就是:

  • 要验证正确性;

  • 覆盖边界条件;

  • 验证是否有异常和错误的处理。

自动化测试,一定要配合好持续集成,才能最大化发挥其效用。

对于自动化测试的实施,开头是最难的,因为需要花时间选择自动化测试框架,需要针对自动化测试框架搭建环境,甚至要去搭建持续集成环境。但搭建持续集成和搭建自动化测试环境,并且保证持续更新维护自动测试代码,这个技术投资,一定是你在项目中最有价值的投资之一。

搭建持续集成环境和集成自动化测试框架的事情,要作为一个正式的项目任务去做,当作一个很重要的任务去推进。