16 再谈一致性:除了 CAP 之外的一致性模型还有哪些?

在“05 | 一致性与 CAP 模型:为什么需要分布式一致性”中,我们讨论了分布式数据库重要的概念——一致性模型。由于篇幅的限制,我在该部分只谈到了几种数据端(服务端)的强一致模型。那么这一讲,我们将接着讨论剩下的一致性模型,包括客户端(会话)一致性、最终一致性,等等。

现在我就和你一起,把一致性模型的知识体系补充完整。

完整的一致性模型

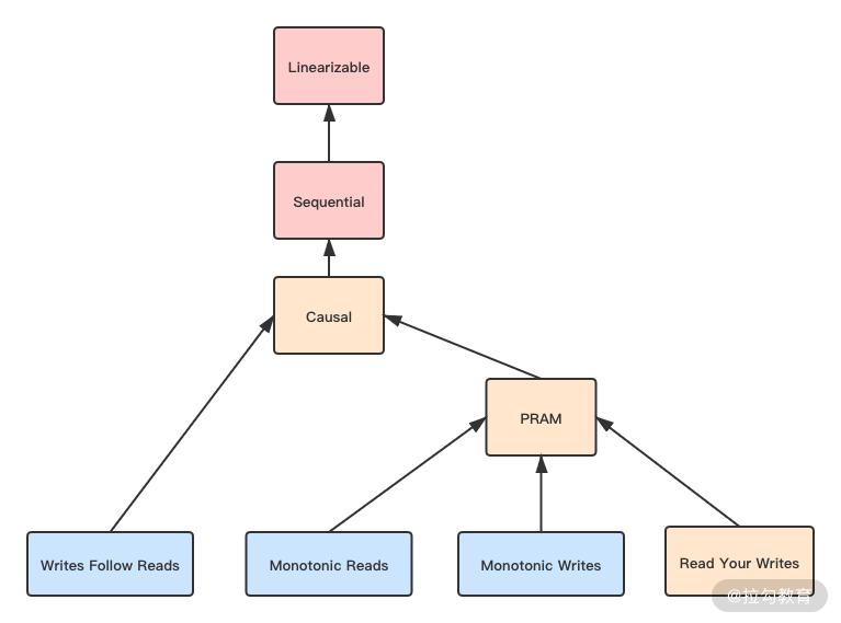
完整的一致性模型如下图所示。

Drawing 0.png

图中不同的颜色代表了可用性的程度,下面我来具体说说。

  1. 粉色代表网络分区后完全不可用。也就是 CP 类的数据库。
  2. 黄色代表严格可用。当客户端一直访问同一个数据库节点,那么遭遇网络分区时,在该一致性下依然是可用的。它在数据端或服务端,被认为是 AP 数据库;而从客户端的角度被认为是 CP 数据库。
  3. 蓝色代表完全可用。可以看到其中全都是客户端一致性,所以它们一般被认为是 AP 数据库。

我们看到图中从上到下代表一致性程度在降低。我在 05 讲中介绍的是前面三种一致性,现在要介绍剩下的几种,它们都是客户端一致性。

客户端一致性

客户端一致性是站在一个客户端的角度来观察系统的一致性。我们之前是从“顺序性”维度来研究一致性的,因为它们关注的是多个节点间的数据一致性问题。而如果只从一个客户端出发,我们只需要研究“延迟性”。

分布式数据库中,一个节点很可能同时连接到多个副本中,复制的延迟性会造成它从不同副本读取数据是不一致的。而客户端一致性就是为了定义并解决这个问题而存在的,这其中包含了写跟随读、管道随机访问存储、读到已写入、单增读和单增写。

写跟随读(Writes Follow Reads)

WFR 的另一个名字是回话因果(session causal)。可以看到它与因果一致的区别是,它只针对一个客户端。故你可以对比记忆,它是对于一个客户端,如果一次读取到了写入的值 V1,那么这次读取之后写入了 V2。从其他节点看,写入顺序一定是 V1、V2。

WFR 的延迟性问题可以描述为:当写入 V1 时,是允许复制延迟的。但一旦 V1 被读取,就需要认为所有副本中 V1 已经被写入了,从而保证从副本写入 V2 时的正确性。

管道随机访问存储(PRAM)/FIFO

管道随机访问存储的名字来源于共享内存访问模型。像 05 讲中我们提到的那样,分布式系统借用了并发内存访问一致性的概念来解释自己的问题。后来,大家觉得这个名字很怪,故改用 FIFO,也就是先进先出,来命名分布式系统中类似的一致性。

它被描述为从一个节点发起的写入操作,其他节点与该节点的执行顺序是一致的。它与顺序一致性最大的区别是,后者是要求所有节点写入都是有一个固定顺序的;而 PRAM 只要求一个节点自己的操作有顺序,不同节点可以没有顺序。

PRAM 可以拆解为以下三种一致性。

  1. 读到已写入(Read Your Write):一个节点写入数据后,在该节点或其他节点上是能读取到这个数据的。
  2. 单增读(Monotonic Read):它强调一个值被读取出来,那么后续任何读取都会读到该值,或该值之后的值。
  3. 单增写(Monotonic Write):如果从一个节点写入两个值,它们的执行顺序是 V1、V2。那么从任何节点观察它们的执行顺序都应该是 V1、V2。

同时满足 RYW、MR 和 MW 的一致性就是 PRAM。PRAM 的实现方式一般是客户端一直连接同一个节点,因为读写同一个节点,故不存在延迟性的问题。

我们可以将 PRAM 与 WFR 进行组合,从而获得更强的因果一致。也就是一个客户端连接同一个节点,同时保持回话因果一致,就能得到一个普通的因果一致。这种模式与 05 讲中介绍的是不一样的,这次我们是采用模型递推的模式去构建一致性,目的是方便模型记忆。但这并不代表因果一致一定是这种模型化的构建方式;相反,在 05 讲中介绍的时间戳模式更为普遍。

我们刚才说到,PRAM 是严格可用的,并不是完全可用,如果要完全可用一般可以牺牲 RYW,只保留 MR 和 MW。这种场景适合写入和读取由不同的客户端发起的场景。

至此,我们已经将所有的强一致模型介绍了一遍。掌握上面那个图,你就掌握了完整的一致性模型。下面我要为你介绍最弱的一致性模型,也就是最终一致。

最终一致性

最终一致性是非常著名的概念。随着互联网和大型分布式系统的发展,这一概念被广泛地传播。它被表述为副本之间的数据复制完全是异步的,如果数据停止修改,那么副本之间最终会完全一致。而这个最终可能是数毫秒到数天,乃至数月,甚至是“永远”。

最终一致性具有最高的并发度,因为数据写入与读取完全不考虑别的约束条件。如果并发写入修改同一份数据,一般采用之前提到的一些并发冲突解决手段来处理,比如最后写入成功或向量时钟等。

但是,最终一致性在分布式数据库中是完全不可用的。它至少会造成各种偏序(skew)现象,比如写入数据后读取不出来,或者一会儿能读取出来,一会儿又读取不出来。因为数据库系统是底层核心系统,许多应用都构建在它上面,此种不稳定表现在分布式数据库设计中是很难被接受的。故我们经常采用可调节的最终一致性,来实现 AP 类的分布式数据库。

可调节一致性

一般的分布式系统的写入和读取都是针对一个节点,而可调节一致性针对最终一致性的缺点,提出我们可以同时读取多个节点。现在我们引入可调节一致性设计的三个变量。

  1. 副本数量 N:是分布式集群中总的节点数量,也就是副本总量。
  2. 最少并发写入数量 W:当一份数据同步写入该数量的节点后,我们认为该数据是写入成功的。
  3. 最少并发读取数量 R:当读取数据时,至少读取该数量的节点,比较后选择最终一份最新的数据。如此我们才认为一次读取操作是成功的。

当分布式系统的并发读写数量满足下面的公式:

W + R > N

这时我们认为该系统的并发度可以满足总是能读取到最新的数据。因为你可以发现,写入节点与读取的节点之间肯定存在重合,所以每次读取都会发现最新写入的一个节点。

一个常见的例子是 N=3、W=2 和 R=2。这个时候,系统容忍一个节点失效。正常情况下三个节点都能提供读写服务,如果其中一个节点失效,读写的最少节点数量依然可以满足。在三个节点同时工作的情况下,最新数据至少在两个节点中,所以从三个里面任意读取两个,其中至少一个节点存在最新的数据。

你可能注意到,我上文用了很多“最少”这种描述。这说明在实际中实现这种分布式数据库时,可以在写入时同时写入三个节点。但此时只要其中两个节点返回成功,我们就认为写入成功了。读取也同样,我们可以同时发起三个读取,但只需要获取最快返回的两个结果即可。

那么有的人会问,为什么不每次写入或读取全部节点呢?我的回答是也可以的,比如对于写入负载较高的场景可以选择 W=1、R=N;相反,对于读取负载高的场景可以选择 W=N、R=1。你不难发现这两种模式分别就是上文讨论的强一致性:前者是客户端一致性,后者是数据一致性(同步复制)。故可调节一致性同时涵盖了弱一致性到强一致性的范围。

如何选择 W 和 R 呢?增加 W 和 R 会提高可用性,但是延迟会升高,也就是并发度降低;反之亦然。一个常用的方式是 Quorums 方法,它是集群中的大多数节点。比如一个集群有 3 个节点,Quorums 就是 2。这个概念在分布式数据库中会反复提及,比如领导选举、共识等都会涉及。

对于可调节一致性,如果我们的 W 和 R 都为 Quorums,那么当系统中失败节点的数量小于 Quorums 时,都可以正常读写数据。该方法是一种在并发读与可用性之间取得最佳平衡的办法。因为 W 和 R 比 Quorums 小,就不满足 W+R>N;而大于 Quorums 只降低了并发度,可用性是不变的。因为 W 和 R 越大,可失败的节点数量越小。

但是使用 Quorums 法有一个经典的注意事项,那就是节点数量应为奇数,否则就无法形成多数的 Quorums 节点。

Witness 副本

我在上文介绍了利用 Quorums 方法来提高读取的可用性。也就是写入的时候写入多个副本,读取的时候也读取多个副本,只要这两个副本有交集,就可以保证一致性。虽然写入的时候没有写入全部副本,但是一般需要通过复制的方式将数据复制到所有副本上。比如有 9 个节点,Quorums 是 5,即使一开始写入了 5 个节点,最终 9 个节点上都会有这一份数据。这其实增加了对于磁盘的消耗,但是对于可用性没有实质的提高。

我们可以引入 Witeness 副本来改善上面这种情况,将集群中的节点分为复制节点与 Witness 节点。复制节点保存真实数据,但 Witeness 节点在正常情况下不保存数据。但是当集群中的可用节点数量降低的时候,我们可以将一部分 Witeness 节点暂时转换为可以存储数据的节点。当集群内节点恢复后,我们又可以将它们再次转换为 Witeness 节点,并释放上面存储的数据。

那么需要使用多少个 Witeness 副本来满足一致性呢?假设我们现在有 r 个复制副本和 w 个 Witeness 副本。那么总副本数量为 r+w,需要满足下面两个规则:

  1. 读写操作必须要有 Quorums 数量的节点,也就是 (r+w)/2+1 个节点参与;
  2. 在条件 1 给出的节点中,至少有一个节点是复制节点。

只要满足这两条规则,就可以保证 Witeness 节点的加入是满足一致性要求的。

现在分布式数据库广泛使用 Witeness 节点来提高数据存储的利用率,如 Apache Cassandra、Spanner 和 TiDB 等。但是它们的使用方法不尽相同,感兴趣的话你可以自己深入研究。

CRDT 算法

上文我们探讨了最终一致性方案,除了使用可调节手段来保持一致性外。我们可以使用 Conflict-Free Replicated Data Type(CRDT)来解决最终一致的数据冲突问题。

CAP 理论提出者 Eric Brewer 撰文回顾 CAP 时也提到,C 和 A 并不是完全互斥,建议大家使用 CRDT 来保障一致性。自此各种分布式系统和应用均开始尝试 CRDT,微软的 CosmosDB 也使用 CRDT 作为多活一致性的解决方案,而众多云厂商也使用 CRDT 来制定 Redis 的多活一致性方案。

由于目前 CRDT 算法仍然处于高速发展的阶段,为了方便你理解,我这里选取携程网内部 Redis 集群一致性方案,它的技术选型相对实用。如果你对 CRDT 有兴趣,可以进一步研究,这里就不对诸如 PN-Counter、G-Set 等做进一步说明了。

由于 Redis 最常用的处理手段是设置字符串数据,故需要使用 CRDT 中的 register 进行处理。携程团队选择了经典的 LWW Regsiter,也就是最后写入胜利的冲突处理方案。

这种方案,最重要的是数据上需要携带时间戳。我们用下图来说明它的流程。

Drawing 1.png

从图中可以看到,每个节点的数据是一个二元组,分别是 value 和 timestamp。可以看到节点间合并数据是根据 timestamp,也就是谁的 timestamp 大,合并的结果就以哪个值为准。使用 LWW Register 可以保证高并发下合并结果最终一致。

而删除时,就需要另外一种算法了。那就是 Observed-Remove SET(OR Set),其主要的目的是解决一般算法无法删除后重新增加该值的情况。

它相较于 LWW-Register 会复杂一些,除了时间戳以外,还需要给每个值标记一个唯一的 tag。比如上图中 P1 设置(1,3),实际需要设置(1α,3);而后如果删除 1,集合就为空;再添加 1 时,标签就需要与一开始不同,为(1β,5)。这样就保证步骤 2 中的删除操作不会影响步骤 3 中的增加操作。因为它们虽然数值相同,但是标签不同,所以都是唯一的。

以上就是 Redis 跨 IDC 异步同步的核心技术方案,当然细节还是有很多的,有兴趣的话你可以自行学习。

总结

到这里,我们已经学习了分布式数据库中关于一致性问题的全部内容。这部分你要理解一致性模型图,从而可以系统地掌握数据端一致性与客户端一致性;同时结合 CAP 理论体会不同一致性所对应的可用性。

最终一致性一般应用在跨数据中心、跨区域节点这种无主同步的场景,使用可调节的一致性和 CRDT 算法可以保证同步的一致性。

学习一致性部分后,我们就可以评估各种分布式数据库文档中的一致性概念了,从而理解它们背后的设计理念。在本模块的最后一讲,我会举例说明一些分布式数据库一致性方面的背后逻辑。

欢迎你和我一起思考,祝你每天能强大一点。下一讲我们将探讨数据是如何可靠进行传输的,希望准时与你相见。